Lecture-1:Review of formation of Images by Lens
Print this page
First   |  Last   |   Prev   |   Next

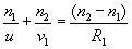
The incident ray from object when incidents at the first surface undergoes refraction. If there is no second surface, then the position of image in medium n2 will be given as

                                                                  ------------------(A)

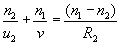
The image formed by refraction at first surface will act as object for the refraction at second surface. If 'd' is thickness of lens, . (-ve sign because the object I1 is on the right of vertex of surface 2 the final image I will be formed at v

                                                                  ------------------(B)

         or                     

First   |   Last    |   Prev   |   Next