Lecture1: Review of formation of Images by Lens
Print this page
First   |  Last  |   Prev   |   Next

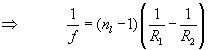
For thin lens, we know

                         

     

Which is known as lens maker's formula.

                                                          

First   |  Last   |   Prev   |   Next