Lecture-1:Review of formation of Images by Lens
Print this page
First   |  Last   |   Prev   |   Next

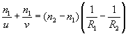
adding the two eqns (A) and (B)

                                 

if the thickness (d) of lens is small then

                                

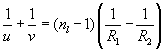
For n1=1 (air) and n2=nl (lens medium)

                                 

First   |   Last    |   Prev   |   Next