Module 4 : Propagation Delays in MOS
Lecture 17 : Pseudo NMOS Inverter
17.6
Low input
When the input voltage is less than VTn.
The output is ‘high’ and no current is drawn from the supply.
As we raise the input just above VTn, the output starts falling.
In this region the nMOS is saturated, while the pMOS is linear.
 
17.7
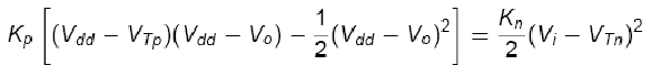
nMOS saturated, pMOS linear
  The input voltage is assumed to be sufficiently low so that the output voltage exceeds the saturation voltage Vi - VTn. Normally, this voltage will be higher than VTp, so the p channel transistor is in linear mode of operation. Equating currents through the n and p channel transistors, we get
 
  defining and we get
 
 
 
4