17.7 |
nMOS saturated, pMOS linear (contd..) |
|
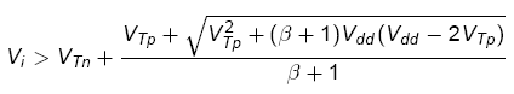
The solutions are:
|
|
 |
|
substituting the values of V1 and V2 and choosing the sign which puts V0 in the correct range, we get
|
|
|
|
As the input voltage is increased, the output voltage will decrease.
|
|
The output voltage will fall below
Vi - VTnwhen |
| |
 |
|
The nMOS is now in its linear mode of operation. The derived equation does not apply beyond this input voltage.
|
| |
|