Types of Measurements Using Magnetometers:
(ii) Temperature dependent measurements:
FC condition: After completing ZFC process, the sample was again cooled down to lowest temperatures but under the same magnetic field applied for ZFC condition. After reaching lowest temperatures, the magnetization is measured again as a function of temperature up to 300 K or higher depending on the measurement set up. This process is called as field-cooled (FC) condition.
These two processes (ZFC and FC) certainly reveal either the same data (see a and b of left figure in Figure 31.06) or different data (see c and d of left figure and right figure in Figure 31.06) depending on the magnetic behavior of the sample and strength of the applied magnetic fields.
Such ZFC and FC measurements are also carried out at different magnitude of constant applied fields to understand the effect of applied magnetic field strength on the peaks observed in ZFC process or for different compositions. The typical example of such studies is shown in (right) Figure 31.06 for different field.
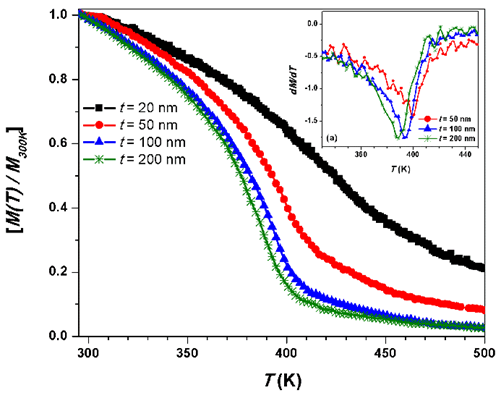
Similarly, M-T data are useful to study the magnetic phase transition temperatures. The typical M-T data showing the magnetic phase transition from ferromagnetic state to paramagnetic state is shown in Figure 31.07.

Figure 31.07: High temperature M-T data for FeTaC (t nm) films [6].