Types of Measurements Using Magnetometers:
(ii) Temperature dependent measurements:

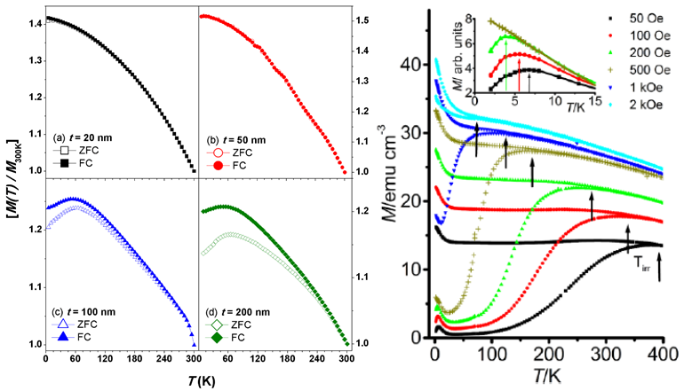
Figure 31.06: Low temperature M-T data for (left) FeTaC (t nm) [6]; and (right) BFO (50 nm) film [7].
Figure 31.06 shows the M-T data of FeTaC (t nm) films measured at low temperature regions.
In general, the measurements can be done at different conditions:
ZFC condition: The virgin sample is taken for measurements and applied zero field during the sample loading. Upon loading, the temperature of the sample is decreased down to lowest possible temperatures (say 1.8 K or 4.2 K). Subsequently, a constant magnetic field is applied to induce magnetization in the sample and study the variation in magnetization as a function of temperature up to 300 K or higher depending on the measurement set up. This process is called as zero-field-cooled (ZFC) condition.
Ref.[7]. Jalkanen et al, J. Phys. Chem. Lett. 5 (2014) 4319.