Four-probe method:
Van der Pauw method:

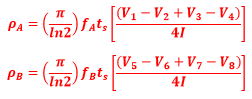
where ρA and ρB are volume resistivity in Ohm-cm, ts is the sample thickness in cm, V1 to V8 represent the voltages measured by the voltmeter under eight geometrics respectively, I is the current through the sample in amperes.
For a perfect symmetry system, fA = fB ≈ 1 and therefore, the average resistivity turns out to be

Quiz 25:
(Q25.1) Why do we consider the thickness of the bulk sample is much higher than the spacing between probes in measuring resistivity of the bulk samples?
(Q25.2) What can we understand from the probe spacing independent resistivity in thin films?
(Q24.3) Can we measure resistivity of non-square or non-rectangular specimen?