Four-probe method:
For Thin sheet:
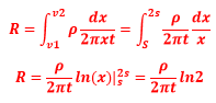
For a very thin layer as shown in Figure 25.03, where the thickness of the sheet t << the space between the probes, s, we can get current rings instead of spheres. Therefore, the expression for the area is A = 2πx.t. Therefore, the derivation for resistance turns out to be:

Figure 25.03: Schematic of four-point collinear probe method on thin sheet.

Due to the superposition of current at outer tips, R = V / (2 I ).
Therefore , the sheet resistivity for a thin sheet is

This expression is independent of probe spacing.