Four-point collinear probe method:
For Bulk:
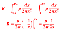
Consider a bulk material as shown in Figure 25.02, where the thickness (t) of the materials is much higher than the space between the probes (s), then the differential resistance due to spherical protrusion of current emanating from the outer probe tips is
![]()

Figure 25.02: Schematic of four-point collinear probe method on bulk material.
Carrying out the integration between the inner probe tips,

where probe spacing is uniform.
Due to the superposition of current at outer tips, R = V / (2I ).
Therefore,
