2.2.3 Conservation of Mass or Continuity Equation (Differenntial Form)
Using Gauss divergence theorem, we can express the right hand side term of Equation (2.6) as
|
(2.9) |
Substituting Equation (2.9) into (2.6), we obtain
![]()
or,
|
(2.10) |
For infinetly small elemental volumes we can always write equation (2.10) as,
|
(2.11) |
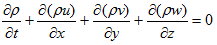
This is the continuity equation in the form of a partial differential equation. This is the conservation form of equation. For unsteady, compressible and three dimensional flow the Equation (2.11) can be expressed as
|
(2.12) |
Equation (2.12) can be re-written as
![]()
or,
|
(2.13) |
However, the sum of the first two terms of the Equation (2.13) is the substantial derivative of ρ. Thus, from Equation (2.13),
|
(2.14) |
This is the form of continuity equation written in terms of the substantial derivative. This is also called as the non-conservative form of mass conservation or continuity equation.
