Therefore equation (2.1) can be rewritten as
![]()
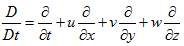
Examining this equation closely, we can obtain an expression for the substantial derivative in cartesian coordinates. That is
|
(2.2) |
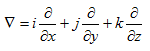
Furthermore, in Cartesian coordinates, the vector operator
is defined as

This equation represents a definition of the substantial derivative in vector notation and is valid for any coordinate system. Dρ/Dt is the substantial derivative, which is physically the time rate of change of a moving fluid element. ∂/∂t is the local derivative, which is physically the time rate of change at a fixed point. V.
is called the convective derivative, which is necessarily the time rate of change due to the movement of the fluid element from one location to another in the flow field where the flow properties are varying. Thus substantial derivative is the summation of local (temporal) and convective differentials.This proves the usefulness of substantial or total derivative for briding Lagrangian and Eulerian approaches.