Introduction
Gas dynamics is the science concerned with studying the causes and effects arising from the motion of compressible fluids, particularly gases. Gas dynamics combines the principles of mechanics, thermodynamics, aerodynamics and chemical kinetics. Gas dynamics study often concentrates on the behavior of gases flowing at speeds comparable or even more than the speed of sound, making it relevant in the design of aircraft and spacecraft and their propulsion systems.
The formulation of any engineering problem is based on definitions of concepts and statements of natural laws in terms of these concepts. Examples are law of conservation of mass, Newton’s second law of motion and law of conservation of energy. Equations relating to each of these laws can be formulated using Control volume approch (Eulerian approach) or moving control volume approach ( Lagrengian Approach). For the Control volume or Eulerian approach, attention is focused to the fixed region in flowfield instead of looking at the whole flowfield at once. However for moving control volume approach or Lagrengian approach, attention is focused on fixed fluid elements moving in the flowfield. Common assumption in both the approaches is the continnum of flow. Substantial or total derivative of any property acts as bridge beween these two approaches.
2.1 Substantial or Total Derivative
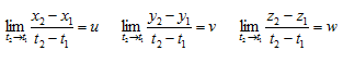
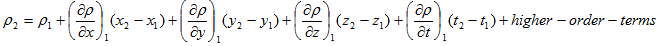
Consider an infinitesimally small fluid element moving through a flowfield with velocity vector 'V', having components u, v and w in the cartesian co-ordinate system, In general these velocites are dependant on position of the fluid element and time like all the flow properties. Consider density of the fluid element to be ρ1 = ρ(x1, y1, z1, t1) at reference location 1 and time t1. Due to motion of the fluid element, density at later time t2 is ρ2 = ρ(x2, y2, z2, t2). We can use Taylor series expansion about point 1 as follows
![]()
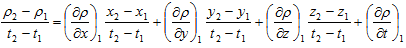
If we negelect the higher order terms and divide both the sides by time difference we get,
|
(2.1) |
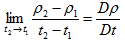
Left hand side of above expression represents the the average time rate of change in density of the moving fluid element as it moves from point 1 to point 2. It is also called as the substantial or total derivative of the density and is generally represented as,
![]()
Dρ/Dt and (∂ρ/∂t)1 are physically and numerically different quantities. Dρ/Dt is the rate of change of density of a given fluid element as it moves through space. While (∂ρ/∂t)1 is the time rate of change of density at the fixed point 1.
Also for the right hand side of equation (2.1),
