Since
|
(5.132) |
and
|
(5.133) |
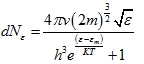
Eq. (5.130) becomes
|
(5.134) |
The mean energy
of an electron is:
|
(5.135) |
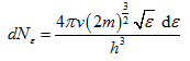
At absolute zero,
|
(5.136) |
Since at absolute zero there are no electrons with ε > εm0. ε < εm0 at T = 0 K, we have from Eq. (5.134)
∴ |
(5.137)
(5.138) |
The average energy at absolute zero equals
th of maximum energy.
Any other temperature is the average energy of the electron at
|
(5.139) |
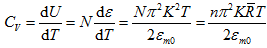
The total energy U = Nε and the heat capacity
|
(5.140) |
where n is the number of moles. The molar specific heat is represented by
|
(5.141) |
The MB statistics gives a value
|
(5.142) |
which is independent of temperature.






