Electron Gas
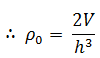
Electron are often regarded as a gas. They are subject to Pauli’s exclusion principle and follow Fermi-Dirac statistics. An electron may be visualized as a small ball of charge spinning clockwise or anticlockwise about an axis trough its centre. Because of this right-handed or left-handed spin, the degeneracy is:
|
(5.114) |
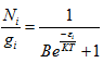
The Fermi-Dirac distribution is:
|
(5.115) |
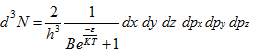
Substituting d6N for Ni, ε for εi and the expression for gi (Eq. 5.115)
|
(5.116) |
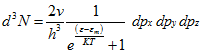
Integrating over x, y and z
|
(5.117) |
In order to evaluate B, let us make the following substitution in Eq. 5.117
|
(5.118) |
where εm is a function of temperature. Hence Eq. 5.117 reduce to
|
(5.119) |
Equation 5.119 represents the distribution of electrons in momentum space. The number density of electrons in this space is given by
|
(5.120) |
At T = 0 K, Let εm = εm0.
|
(5.121) |
- If ε < εm0
Thus the density of representive points in momentum space is constant in all cells.
(5.122)
- If ε > εm0 at T = 0K
Hence there can be no electron whose energy is greater than εm0 at T = 0.
(5.123)
Thus εm0 is the maximum energy of the electron at absolute zero. This is known as Fermi Energy.
Figure 5.4 represents the distribution in momentum space of Fermi-Dirac statistics at T = 0 and two other temperature T1 and T2

Figure 5.4 Variation of momentum space of Fermi-Dirac statistics
The density is constant at all points for which ε < εm0 and is zero for ε > εm0. As the temperature increases, the distribution function falls off asymptotically to zero as energy increases, when some of the particles move from the lower energy levels to higher energy increases in temperature, the effect of Pauli’s exclusion principle gets less and less, and it reverts to M-B distribution.





