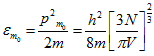
Calculation of εm0
The energy and momentum of a particle are related by equation
|
(5.123) |
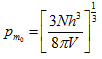
The maximum momentum Pm0 corresponds to the maximum m0 by the equation
|
(5.124) |
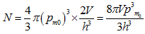
At absolute zero, The momentum space is uniformly populated with a sphere of radius Pm0 and there are no points outside the sphere. The total number of electron N is
|
(5.125) |
Therefore,
|
(5.126) |
and
|
(5.127) |
where h and m are Plank's constant and mass of an electron, respectively.
The maximum K.E. of free electron is having some finite value. But as per M - B statistics average K.E. of gas molecules is
, and same in zero at absolute zero temperature. Thus, the concept of absolute zero as a state in which all molecular or electronic motion has ceased is not correct. as it is revealed by F - D statistics.
At temperatures other than absolute zero εm is calculated from
|
(5.128) |
when T = 0 K, εm = εm0
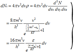
Velocity Distribution Function
To obtain the velocity distribution function substitute in Eq. (5.119) for dpx, dpy, dpz
|
(5.129) |
where ![]()
Since distribution is spherically symmetrical,
|
(5.130) |
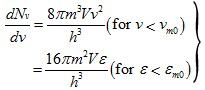
At T = 0 K
|
(5.131) |
and
![]()
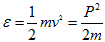
Figure 5.5 shows the velocity distribution functions of v and ε at T = 0 K and at two higher temperatures.
Fig 5.5 Velocity distribution in Fermi-Dirac Statistics





