Electric Vehicle (EV) Drivetrain Alternatives Based on Power Source Configuration
Besides the variations in electric propulsion, there are other EV configurations due to variations in energy sources. There are five configurations possible and they are:
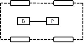
- • Configuration 1: It is a simple battery powered configuration, Figure 4a. The battery may be distributed around the vehicle, packed together at the vehicle back or located beneath the vehicle chassis. The battery in this case should have reasonable specific energy and specific power and should be able to accept regenerative energy during braking. In case of EVs, the battery should have both high specific energy and specific power because high specific power governs the driving range while the high power density governs the acceleration rate and hill climbing capability.
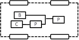
• Configuration 2: Instead of two batteries, this design uses two different batteries, Figure 4b. One battery is optimized for high specific energy and the other for high specific power.
• Configuration 3: In this arrangement fuel cell is used, Figure 4c. The battery is an energy storage device, whereas the fuel cell is an energy generation device. The operation principle of fuel cells is a reverse process of electrolysis. In reverse and electrolysis, hydrogen and oxygen gases combine to form electricity and water. The hydrogen gas used by the fuel cell can be stored in an on-board tank whereas oxygen gas is extracted from air. Since fuel cell can offer high specific energy but cannot accept regenerative energy, it is preferable to combine it with battery with high specific power and high-energy receptivity.
• Configuration 4: Rather than storing it as a compressed gas, a liquid or a metal hydride, hydrogen can be can be generated on-board using liquid fuels such as methanol, Figure 4d. In this case a mini reformer is installed in the EV to produce necessary hydrogen gas for the fuel cell.
• Configuration 5: In fuel cell and battery combination, the battery is selected to provide high specific power and high-energy receptivity. In this configuration a battery and supercapacitor combination is used as an energy source, Figure 4e. The battery used in this configuration is a high energy density device whereas the supercapacitor provides high specific power and energy receptivity. Usually, the supercapacitors are of relatively low voltage levels, an additional dc-dc power converter is needed to interface between the battery and capacitor terminals.
Figure 4a: EV configuration with battery source
Figure 4b: EV configuration with two battery sources
Figure 4c: EV configuration with battery and fuel cell sources
Figure 4d: EV configuration with multiple energy sources
Figure 4e: EV configuration with battery and capacitors sources
Figure 4f: EV configuration with battery and flywheel sources
B: Battery
C: Capacitor
FC: Fuel cellFW: Flywheel
P: Power converter
R: Reformer