Module 9 : State Feedback Control Design

Lecture 3 : State Estimators or Observers

 

2.3 Controller with Observer

The observer dynamics:

$\displaystyle \hat{\mathbf{x}}(k+1)=A\hat{\mathbf{x}}(k)+B\mathbf{u}(k)+LC(\mathbf{x}(k)-\hat{\mathbf{x}}(k)) $

Combining with the system dynamics




Since the states are unavailable for measurements, the control input is

$\displaystyle \mathbf{u}(k)=-K \hat{\mathbf{x}}(k)$


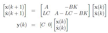
Putting the control law in the augmented equation


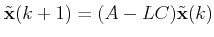
The error dynamics is

$\displaystyle \tilde{\mathbf{x}}(k+1)= (A-LC) \tilde{\mathbf{x}}(k) $

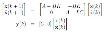
If we augment the above with the system dynamics, we get


where the dimension of the augmented system matrix is R2nx2n . Looking at the matrix one can easily understand that 2n eigenvalues of the augmented matrix are equal to the individual eigenvalues of $ A-BK$ and $ A-LC$.

Conclusion: We can reach to a conclusion from the above fact is the design of control law, i.e., $ A-BK$ is separated from the design of the observer, i.e., $ A-LC$.

The above conclusion is commonly referred to as separation principle .


The block diagram of controller with observer is shown in Figure 3.

Figure 3: Controller with observer
\begin{figure}\centering
\begin{pspicture}(-2,-2)(12,8)
%\pnode(-1,6){u}\rput(...
...B=180]{-}{u1}{a2}
\rput(4,-0.7){$\mathbf{u}(k)$}
\end{pspicture}
\end{figure}