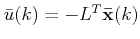
Computation of observer gain matrix L
The task is to place the poles of
. Necessary and sufficient condition for arbitrary pole placement is that the pair should be controllable.
Assumption: The pair
is observable. Thus, from the theorem of duality, the pair
is controllable.
You should note that the eigenvalues of
are same as that of
. It is same as a hypothetical pole placement problem for the system
, using a control law
.
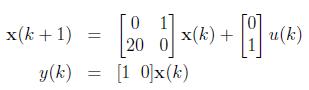
Example:
The observability matrix

is non singular. Thus the pair
is observable. The observer dynamics are
![]()
L should be designed such that the observer poles are at 0.2 and 0.3.
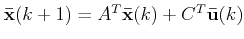
We design LT such that
has eigenvalues at 0.2 and 0.3.
Using Ackermann's formula,
. Thus