Module 9 : State Feedback Control Design

Lecture 3 : State Estimators or Observers

 

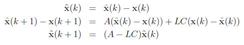
Let $ \tilde{\mathbf{x}}=\hat{\mathbf{x}}-\mathbf{x}$ be the estimation error. Then the error dynamics are defined by


with the initial estimation error as $\displaystyle \tilde{\mathbf{x}}(0)=\hat{\mathbf{x}}(0)-\mathbf{x}(0) $ If the eigenvalues of A are inside the unit circle then $ \tilde{\mathbf{x}}$ will converge to 0 . But we have no control over the convergence rate.

Moreover, A may have eigenvalues outside the unit circle. In that case $ \tilde{\mathbf{x}}$ will diverge from 0 . Thus the open loop estimator is impractical.

2.2 Luenberger State Observer

Consider the system $ \mathbf{x}(k+1)=A\mathbf{x}(k)+B\mathbf{u}(k)$. Luenberger observer is shown in Figure 2. The observer dynamics can be expressed as:

$\displaystyle \hat{\mathbf{x}}(k+1)=A\hat{\mathbf{x}}(k)+B\mathbf{u}(k)+L(\mathbf{y}(k)-\hat{\mathbf{y}}(k))$
(1)

\begin{figure}\centering  \begin{pspicture}(-2,0)(12,8)  \pnode(-1,6){u}\rput(-1...  ...eA=180,angleB=-90]{->}{G7}{S2}\ncline{->}{G5}{yh}  \end{pspicture}  \end{figure}

Figure 2: Luenberger observer


The closed loop error dynamics can be derived as:


It can be seen that $ \tilde{\mathbf{x}}\rightarrow 0$, if L can be designed such that $ (A-LC)$ has eigenvalues inside the unit circle of z -plane.

The convergence rate can also be controlled by properly choosing the closed loop eigenvalues.