The controllability matrix

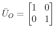
implies that the state model is uncontrollable. The observability matrix

implies that the state model is observable. The system difference equation will result in a tranfer function which would involve pole-zero cancellation. Whenever there is a pole zero cancellation, the state space model will be either uncontrollable or unobservable or both.
4 Controllability/Observability after sampling
Question: If a continuous time system is undergone a sampling process will its controllability or observability property be maintained?
The answer to the question depends on the sampling period T and the location of the eigenvalues of A.
. Loss of controllability and/or observability occurs only in presence of oscillatory modes of the system.
. A sufficient condition for the discrete model with sampling period T to be controllable is that whenever
,
for ![]()
. The above is also a necessary condition for a single input case.
Note: If a continuous time system is not controllable or observable, then its discrete time version, with any sampling period, is not controllable or observable.