2.2 Theorm of Duality
The pair (A,B) is controllable if and only if the pair (AT,BT) is observable.
Exercise: Prove the theorem of duality.
3. Loss of controllability or observability due to pole-zero cancellationWe have already seen through an example that a system becomes uncontrollable when one of the modes is cancelled. Let us take another example.
Example:
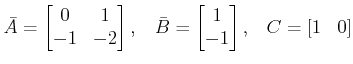
The controllability matrix

implies that the state model is controllable. On the other hand, the observability matrix
has a rank 1 which implies that the state model is unobservable. Now, if we take a different set of state variables so that,
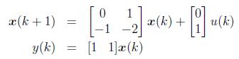
, then the state variable model will be:
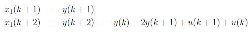
Lets us take
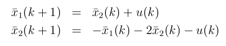
. The new state variable model is:
which implies