The discrete ARE is
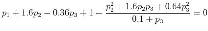
Or,
We can get three equations from the discrete ARE. These are



Since the above three equations comprises three unknown parameters, these parameters can be solved uniquely, as
![]()
The optimal control law can be found out as
The optimal cost can be found as