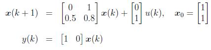
Example 1: Consider the following linear system
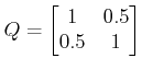
Design an optimal controller to minimize the following performance index.
Also, find the optimal cost.
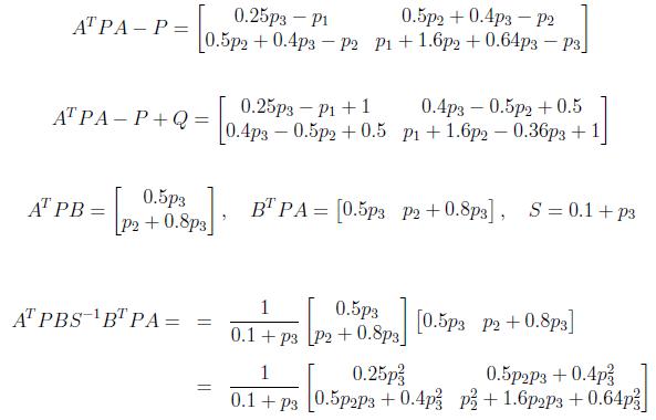
Solution: The performance index J can be rewritten as

Thus,
and R = 0.1.
Let us take P as

Then,