Module 11 : Introduction to Optimal Control

Lecture 1 : Introduction to optimal control

 

 

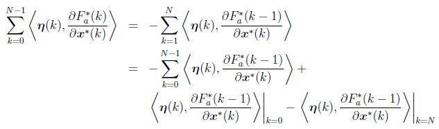
Substituting Fa into the expression of Ja and applying the necessary conditions,



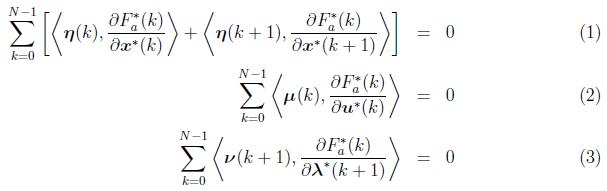
Equation (1) can be rewritten as




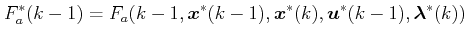
where

$\displaystyle F_a^*(k-1)=F_a(k-1, \boldsymbol{x}^*(k-1), \boldsymbol{x}^*(k), \boldsymbol{u}^*(k-1), \boldsymbol{\lambda}^*(k)) $


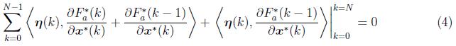
Rearranging terms in the last equation, we get



According to the fundamental lemma of calculus of variation, equation (4) is satisfied for any $ \boldsymbol{\eta}(k)$ only when the two components of the equation are individually zero. Thus,