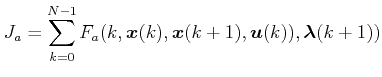
Calculus of variation says that the minimization of J with constraint is equivalent to the minimization of Ja without any constraint.
Let
and
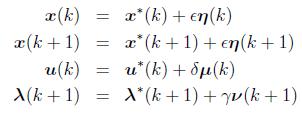
represent the vectors corresponding to optimal trajectories. Thus one can write
where
are arbitrary vectors and
are small constants.
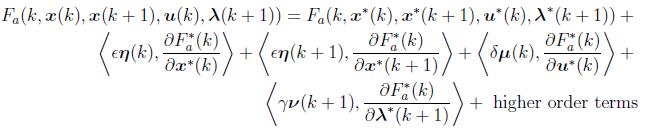
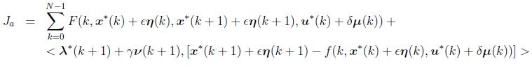
Substituting the above four equations in the expression of Ja,
To simplify the notation, let us denote Ja as

![]()
Expanding Fa using Taylor series around
and
, we get
where
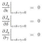
The necessary condition for Ja to be minimum is