Module 8 : Primality Testing

Lecture 3 : AKS PRIMALITY TEST

 

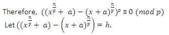
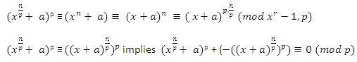
Proof:  As p and n are both introspective for (x+a), we have

We must  show h ≡ 0(mod xr−1).Because (r,p) =1, xr−1 factors into distinct irreducible hi(x) over Zp. Using the Chinese Remainder theorem , we get

 

As xr−1 divides  hp, each of the irreducible factors hi(x) divide h. Hence xr−1 divides h. Hence the proof.

It is easy to see the introspective numbers are closed under multiplication and that the set of functions for which a given integer is introspective is closed under multiplication.

We can now state a fact as a consequence of the above results.
Every element if the set   is introspective for every polynomial in the
set  . We now define two groups based on these sets that will play a crucial role in the proof.

  1. This is a subgroup of Z*r since (n,r) =(p,r)=1. Let G be this group and |G|=t.G is generated by n and p modulo r and since  Or(n) >  log2 (n), t > log2 (n).
  2. Let Qr(X) be rth cyclotomic polynomial over Fp . Polynomial Qr(X) divides Xr−1 and factors into irreducible factors of degree or(p) . Let h(X) be one such irreducible factor. Since  or(p) >1, the degree of h(X) is greater than one. The second group is the set of all residues of polynomials in P modulo h(X) and p. Let G be this group. This group is generated by elements  X, X+1,X+2,…, X+l in the field F = FpX/ (h(X)) and is a subgroup of the multiplicative group of F.