Module 5: GROUNDWATER TRANSPORT PROCESS

Lecture 31: Introduction

Net flux is equal to the rate of change in flux in time dt

Therefore,

                                                                                            (31.7)

                                                                                                                (31.8)

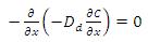
Putting (31.2) in (31.8), we have

                                                                                              (31.9)

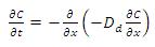
Considering diffusivity is independent of solute concentration, we have

                                                                                                             (31.10)

This is the Fick's second law of diffusion. This is the governing equation for the system where concentrations are changing with time.

In case of steady state, the equation becomes

                                                                                                (31.11)

Solving,

                                                                                         (31.12)

This is again the first law of Fick's. Therefore first Fick's law is the simplified format of the second Fick's law when applied to a steady state condition.

In case three-dimensional space, the Fick's second law can be written as,

                                                                                (31.13)

Where, Dx , Dy, and Dz are the diffusion coefficient in x, y, and z directions.

The equation (31.13) can be solved using numerical techniques. This equation is also amenable to analytical treatment for particular initial and boundary conditions.