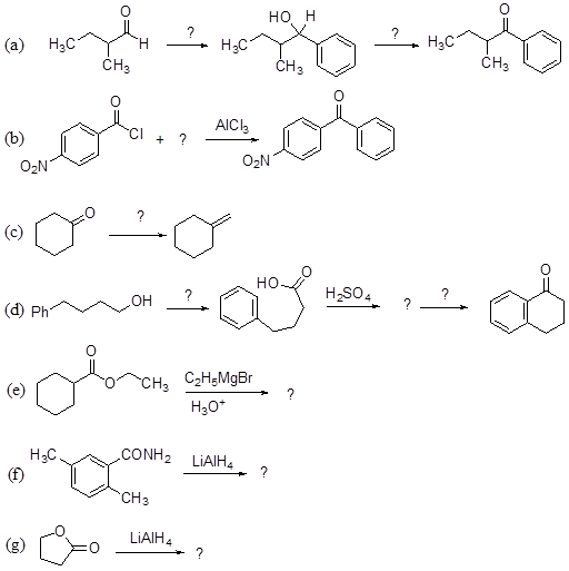
Problems
Complete the following

Text Books
P. Y. Bruce and K J R. Prasad, Essential Organic Chemistry , Pearson Education, New Delhi, 2008.
C. M. Loudon , Organic Chemistry , Oxford University Press, New Delhi, 2002.
R. R. Morrison, R. N. Boyd and S. K. Bhattacharjee, Organic Chemistry , Dorling Kindersley (India) Pvt. Ltd, New Delhi, 2011.