3.9 Reactions of Alkyl halides
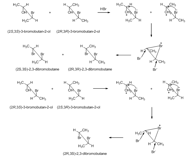
An intriguing result is obtained when the result of treatment of a racemic mixture of (2R ,3R )-3-bromobutan-2-ol and (2S ,3S )-3-bromobutan-2-ol with hydrogen bromide is compared with a similar reaction of (2R ,3S )-3-bromobutan-2-ol and (2R ,3S )-3-bromobutan-2-ol with hydrogen bromide. In the former case, a racemic mixture of (2R ,3R )-2,3-dibromobutane and (2S ,3S )-2,3-dibromobutane is obtained while in the latter case (2R ,3S )-2,3-dibromobutane(meso isomer) is obtained as the only product (Scheme 1). It is thus clear that retention of configuration has occurred in both cases. More importantly, even when one of the enantiomers (2R ,3R )-3-bromobutan-2-ol or (2S ,3S )-3-bromobutan-2-ol was treated with hydrogen bromide both the (2R , 3R )- and (2S , 3S ) isomers are obtained. This suggests that the reaction proceeds through a symmetrical intermediate. It is also reasonable to assume that the reaction follows a SN1 pathway.

Scheme 1
This observation can be explained by the formation of a symmetrical bromonium ion intermediate formed by the internal attack of bromide. This is an example of neighbouring group participation (NGP) by the bromide ion (Scheme 2).

Scheme 2
Another consequence of NGP is rearrangement in the product in unsymmetrical intermediates leading to the nucleophile to be attached at a different place than where the leaving group was actually attached. Similarly, the hydrolysis of ( S )-2-chloro-3-ethylpentan-3-ol proceeds with retention of configuration due to the anchimeric assistance provided by the internal nucleophilic OH group (Scheme 3).

Scheme 3