Lecture 22
1. (a) There are 3 chiral centres in menthol (denoted by *).

(b) The number of stereoisomers possible for this molecule is 23 or 8.
(c) The stereoisomers of menthol are given below.

(d) The structure of naturally occurring menthol is given below.

(e) The structure of (+)-isomenthol is given below.
(f) The structure of (+)-neomenthol is given below.

(g) The chair forms of the three isomers (-)-menthol, (+)-isomenthol and (+)-neomenthol are given below.

Hence the order of stability is (-)-menthol > (+)-neomenthol > (+)-isomenthol.
Lecture 23
1. The product in this reaction may be predicted by following the Felkin Anh model. According to this model, the attack by a nucleophile takes place through a conformation where the largest group is perpendicular to the carbonyl group.

2. This is the manifestation of the criteria of antiperiplanar elimination in an E2 reaction. Of the two hydrogens 1 and 2 only the 1 are in suitable position to be abstracted by base in a transition state for E2 reaction.

Lecture 24

Lecture 25
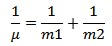
The relationship between reduced mass (μ) of a bond between two atoms of masses m1 and m2 is given by
![]()
In this case, this may be written as
Here m O = 15.999 and m H =1.008, then, ![]()
If m H is replaced by m D then, ![]()