Lecture 16

Lecture 17
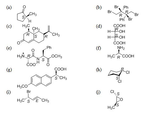
- 1. When bromine is added to benzene it forms a π-complex which is reversible in nature. Thus the benzene protons are not exchanged with bromine. On the other hand in the presence of a Lewis acid DCl it combines with it to form a σ-complex. The formation of this complex is irreversible in nature. The complex is known as a Wheland intermediate which then loses a H or D to form an aromatic molecule.

2. When 2,3-Diphenylcyclopropenone is treated with HBr, then is undergoes the reaction shown below. The result of this recation generates an aromatic species which will show the characteristic of a charged salt.

3. The molecule in order to gain aromaticity must have charge separation.

Lecture 18

Lecture 19
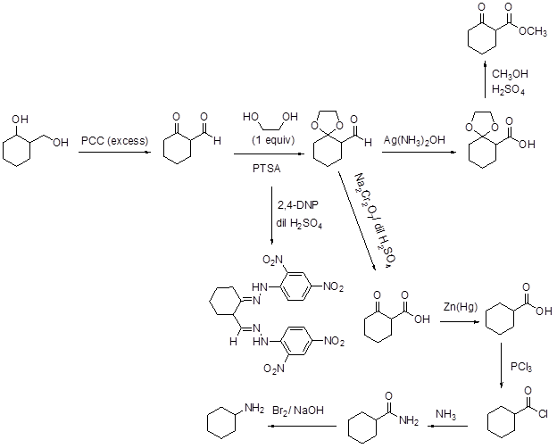
The sequence of reactions is given below:

Lecture 20

Lecture 21
