Lecture 15
(a) 1,3-diphenylpropane-1,2,3-trione exists in a monohydrate form (1). In this form, it is stabilized due to hydrogen bonding between the hydroxyl group and the adjacent carbonyl group. However there is no such stabilization in cyclohexanone.

(b) Glyoxal in the presence of a very strong solution of a hydroxide forms glyoxallate anion through the following pathway. The reaction is second order overall being first order in glyoxal and hydroxide and is referred to as Cannizaro reaction.
(c) In the pathway shown above, the rate determining step is the hydride transfer from one part of glyoxal to the other. Since this step takes place in an intramolecular fashion exclusively, so there is no deuterium insertion in the product.
(d) Pinacol may be prepared from acetone by using magnesium. In this process, magnesium acts a single electron donor thereby forming isopropyl radical which then dimerizes to form pinacol. The magnesium is amalgated conveniently by treating it with mercuric chloride.
![]()

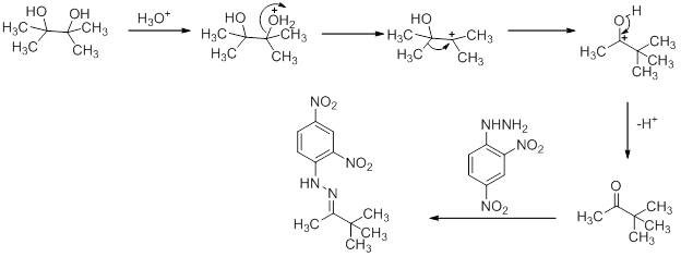
(e) Since the compound reacts with 2,4-dinitrophenyl hydrazine so it must be an aldehyde or ketone. It is in fact a compound called pinacolone which is formed by rearrangement of pinacol in the presence of an acidic catalyst by the following pathway.

(f) This is an example of haloform reaction. When an methyl alkyl ketone is treated with an solution of halogen in sodium hydroxide, it results in formation of an 1,1,1-trihaloalkane along with oxidation of ketone to acid.

(g) This is an example of trans-esterification. In this case, ethanol attacks methyl acetate in an AAC2 fashion to form the ethyl acetate.

(h) This is an example of Favorskii rearrangement of α-haloketones.

The cyclopropanone intermediate undergoes an addition of hydroxide anion to yield the more stable of the two possible carbanions (benzyl > phenylethyl) followed by proton exchange to form 3-phenylpropanoate anion.
(i) This is an example of reaction of Michael reaction in which a carbanion reacts with an α,β-unsaturated carbonyl compound undergoing C-C bond formation.
