Module 3 : Organometallic Reagents

Lecture 25 : Organoboranes

    

3.5.2.3 Addition of Allylboranes to Carbonyl Compounds


Carbonyl compounds react with allylboranes to give the corresponding alcohols. For an example, propiolaldehyde could be transformed into hex-5-ene-1-yn-3-ol via 1,2-addition with (-)-B-allyl(diisopinocampheyl)borane followed by oxidation (Scheme 10).

Scheme 10


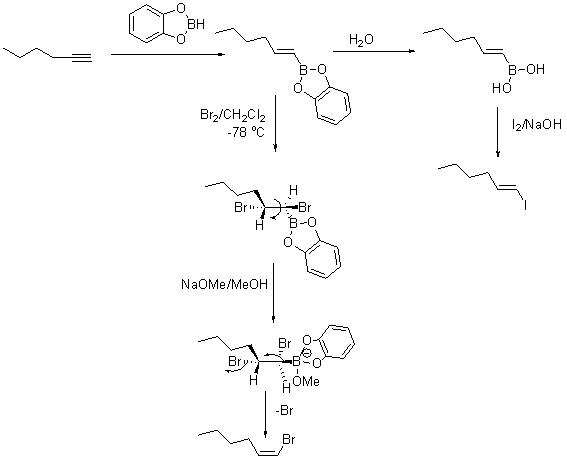
3.5.3 Hydroboration of Alkynes and Reactions of Vinylboranes


Hydroboration of alkynes gives vinylboranes that are versatile intermediates in organic synthesis. For example, 1-hexyne reacts with catcholborane to yield trans-1-alkenylborone, which on hydrolysis followed by reaction with I2 in the presence of NaOH affords trans-vinyl iodide (Scheme 11). Both trans-1-alkenylboronic acid and trans-vinyl iodide are important substrate precursor for the palladium catalyzed C-C cross coupling reactions.


Scheme 11