Problems
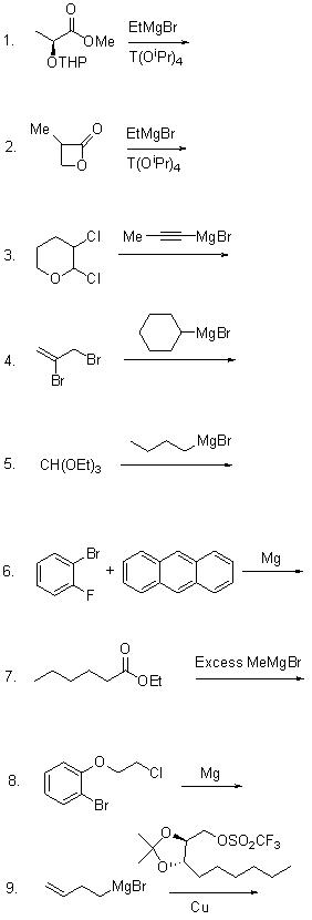
Provide major products for the following reactions.
Text Book
M. B. Smith, Organic Synthesis , 2nd Ed., McGraw Hill, Singapore, 2004.
Module 3 : Organometallic Reagents
Lecture 20 : Problems
Problems
Provide major products for the following reactions.
Text Book
M. B. Smith, Organic Synthesis , 2nd Ed., McGraw Hill, Singapore, 2004.