Module 2: Formation of Aliphatic Carbon-Carbon Bonds: Acid Catalyzed Reactions

Lecture 4 : Problems

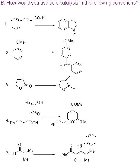
Problems:

Text Books:

R.O.C. Norman and C. M. Coxon, Principles of Organic Synthesis , CRC Press, New York, 2009.

I. L. Finar, Organic Chemistry , Vol. 2, 5th edition, ELBS, England, 1975.

P. Wyatt, S. Warren, Organic Synthesis , Wiley, England, 2007.