Module 1: Formation of Aliphatic Carbon-Carbon Bonds: Base Catalyzed Reactions

Lecture 2 : Base Catalyzed Reactions - II

1.2.2.5.2.2 Reactions of Cyanides with Carbonyl Compounds

Cyanide ion adds to aldehydes and ketones to give cyanohydrins that can be hydrolyzed to a -hydroxy acids (Scheme 14).

Scheme 14

Asymmetric version of the process is also well explored. For example, chiral main chain polymer having Ti(VI) has been found to be an effective recyclable catalyst to obtain the cyanohydrin with up to 88% ee (Scheme 15).

Scheme 15

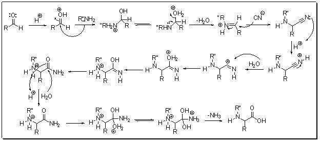
Imine that can be prepared from amine and aldehyde readily undergoes reaction with cyanide ion to give a -amino nitrile which can be hydrolyzed to a- amino acid (Strecker synthesis) (Scheme 16).

Mechanism

Scheme 16

Examples: