.Temperature Control
Molecular Dynamics is usually performed at constant NVE ensemble. The results can be transformed into various ensembles which is possible in the limit of infinite system size. Thus it may be desired to conduct the simulation in NPT or NVT ensemble. A constant temperature simulation may be required if we wish to determine the behavior of the system that changes with temperature such as unfolding of a protein or glass formation[Leach,2001].
The temperature of the system is related to the time average of the kinetic energy which is given by:
![]()
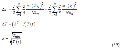
The easiest way to scale the temperature is to rescale the velocities i.e if the temperature at time t is T(t) then the velocities are multiplied by a factor λ so that the associated change in temperature may be given as:

Another alternative way to maintain the temperature is to couple the system to an external bath that is fixed at desired temperature. The bath acts as a source of thermal energy, removing or supplying heat from the system as appropriate. Here the velocities are scaled at each step in such a way that the rate of change of temperature is proportional to the difference in temperature between bath and system.

is the coupling parameter whose magnitude defined the how closely the bath and system are coupled with each other[Leach,2001]. So the change in temperature between successive steps is
![]()