.Multiple Time Stepping (MTS)
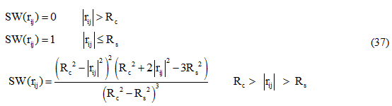
To further reduce the cost of computing the entire electrostatics, a multiple time stepping integration scheme [Allen and Tilsedley,1987] is used. In this scheme, the total force acting on each atom is broken into two pieces, a quickly varying local component and a slower long range component. The local force component is defined in terms of a splitting function given by equation 37:

Here Rc and Rs are the cut-off and switch distance respectively. The local force component consists of all bonded and van der Waals interactions as well as that portion of electrostatic interactions for pairs that are separated by less than the local interaction distance determined by the splitting function. The long range component consists only of electrostatic interactions outside of the local interaction distance. Since the long range forces are slowly varying, they are not evaluated every timestep. Instead, they are evaluated every k timesteps, specified by the program NAMD [NAno scale Molecular Dynamics] [Kale et al., 1999].Thus the long range force is applied to the system every k timesteps i.e. the r-RESPA [REference System Propagator Algorithm][Tuckerman et al,1992] integrator is used. It reduces the number of forces that must be computed at each time step and thereby leads to a dramatic acceleration of the simulations. Since it is the computation of the forces that dominates the cpu time required to simulate systems, this reduction in the number of pair forces that have to be evaluated leads to a significant saving in CPU time.
In this scheme the van der Waals forces are still truncated at the local interaction distance. Thus, the van der Waals cutoff distance forms a lower limit to the local interaction distance. Here this cut off distance specifies which electrostatic pairs will be directly calculated every timestep. Outside of this distance, interactions will be calculated only periodically as illustrated in Figure 15.

Figure 15. Electrostatic Potential with Full Electrostatics
(Adapted from the NAMD user guide: http://www.ks.uiuc.edu/Research/namd/2.9/ug.pdf)