Non Bonded Interaction
Non Bonded van der Waals Interactions
A cut-off always introduces a discontinuity in both the force and potential energy near the cut-off zone. This creates a problem since energy conservation is a must. One of the alternative is to use a shifted potential where a constant term is subtracted from the potential at all points[Leach,2001]. For e.g

Here v(c) is the potential at cut-off radius. Another alternative is to use a switching function .This is a polynomial function of the distance with which the potential energy function is multiplied i.e
![]()
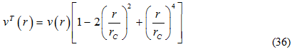
One such function can be written as:

It has the values of 1 at r=0 and 0 at r=rc.
The non bonded van der Waals interactions are always truncated at the cutoff distance (Rc).The main option that affects van der Waals interactions is the switching parameter. With this option set to ON( i.e in NAMD) , a smooth switching function will be used to truncate the van der Waals potential energy smoothly at the cutoff distance. A graph of the van der Waals potential with this switching function is shown in Figure 14. With the switching function active, the potential is smoothly reduced to 0 at the cutoff distance. Without the switching function, there is a discontinuity where the potential is truncated. Thus, the value of switchdist (Rs) must always be less than that of cutoff.

Figure 14. Effect of Non Bonded Interaction without/with switching (Adapted from the NAMD user guide: http://www.ks.uiuc.edu/Research/namd/2.9/ug.pdf)