Similarly the Enthalpy can be obtained

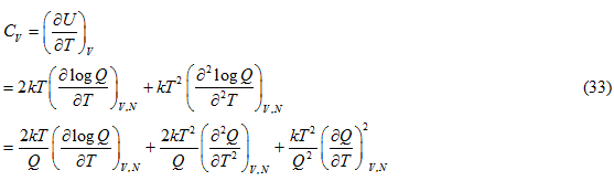
Now at this stage we can compute the specific heat at constant volume i.e CV

The specific heat at constant pressure i.e cp can be obtained using the known relation
![]()
After having seen the thermodynamic properties using the canonical partition function we now proceed with the partition functions of other ensembles such as microcanonical, grand canonical, isobaric-isothermal and semi-grand canonical partition function. In the subsequent sections we will derive all the properties based on the pure fluid