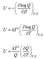
Based on this result the other properties such as internal energy can also be derived

Now as we have seen earlier that the computation of pressure is of fundamental importance in Stattistical Mechanics. Let us derive the equation for pressure.The partition function Q can be written as a function of T and V,thus we get:

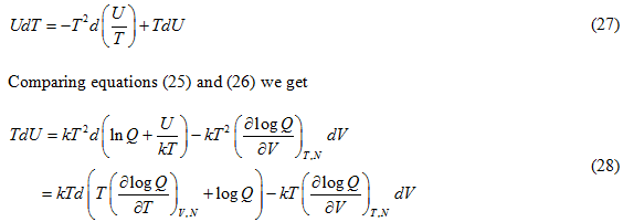
From classical thermodynamics we know:
