Phosphorylation of UMP by kinases gives rise to UDP and UTP:

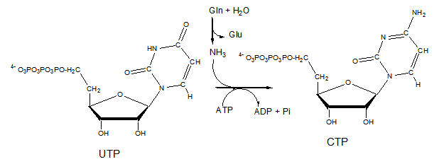
Formation of cytosine nucleotides
Cytidine triphosphate is formed from uridine triphosphate by the replacement of a carbonyl group with an amino group. This is accomplished by a mechanism similar to carbamoyl phosphate synthesis (p. 4). The O4 of the uridine is phosphorylated, followed by displacement with ammonia. CTP synthetase is feedback-inhibited by CTP.

Feedback Inhibition in Bacteria Pyrimidine Biosynthesis
Nucleotide concentrations and their biosynthesis are highly regulated. This tight control is achieved by allosteric modulation (nucleotide end products act as negative effectors).
Fig. 30. Feedback inhibition in bacterial pyrimidine biosynthesis