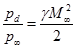
The Rayleigh-Pitot formula with air as free stream is presented graphically in Fig. 7.6.6. The dynamic pressure
obtained from static pressure and the Mach number is then given by the following expression.
(7.6.8) |
Thus, the Mach number calculation through static and stagnation measurements gives complete information of a supersonic flow field.

Fig. 7.6.5: Detached shock ahead of the measuring pressure probe in a supersonic flow.

Fig. 7.6.6: Mach number determination from Pitot tube measurement in a supersonic flow.
Sonic Nozzle : It is an obstruction device often used to measure high flow rates for gases. When the flow rate is sufficiently high, the pressure differential is also expected to be large. Under this condition, a sonic flow condition is achieved at the minimum flow area and the flow is said to be choked . Such a device is known as sonic nozzle . In this case, the flow rate takes the maximum value for a given inlet condition. If this inlet refers to a reservoir pressure
, temperature
and the flow is said to be choked at certain area
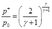
, then the pressure at this location
can be obtained from isentropic relation,
![]() |
(7.6.9) |
This relation is known as critical pressure ratio for a choked nozzle . The choked mass flow rate can be obtained by the following expression,
![]() |
(7.6.10) |
By designing the geometric parameter of a sonic nozzle, it is possible to achieve the discharge coefficient up to 0.97 corresponding to theoretical expression of flow rate given by the Eq (7.6.10).

