The subscripts,
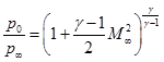
refers to stagnation and free stream conditions, respectively. Had the flow been incompressible, the density term in Eq. (7.6.1) becomes constant quantity and the stagnation and static pressure difference is expressed as follows:
![]() |
(7.6.5) |

Fig. 7.6.4: Prandtl Pitot static probe for simultaneous measurement.
Measurements for Subsonic and Supersonic Flows
The flow Mach number is one of the important parameter for subsonic and supersonic flows. All the flow parameters and their variations are the functions of local Mach number
. The pressure measurements are one of the common practices to determine the Mach number. In subsonic flow, the simultaneous measurement of static
and stagnation pressures
using a Prandtl Pitot Static tube are made in a similar way as shown in Fig. 7.6.4. Subsequently, the isentropic relation is used to determine the flow Mach number.
![]() |
(7.6.6) |
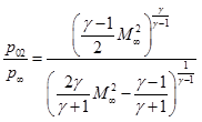
The characteristic feature of a supersonic flow is the formation of a shock wave. So, the introduction of a Pitot probe into the flow stream, leads to a detached bow shock (Fig. 7.6.5). Due to this shock wave at certain distance from the measurement location, the stagnation pressure located indicated by the probe will be much higher than the stagnation pressure of the free stream. For the stagnation stream lines, the curved shock is normal to the free stream and the measured value represents the stagnation pressure downstream of the normal shock
. While conducting experiment, the static pressure
of the free stream (upstream of the shock) is also measured simultaneously by any of the methods, discussed in Fig. 7.6.2. However, the static pressure measurement must be done far upstream of the shock so that its influence on the measurement will be minimized. The Mach number relation connecting the static and stagnation pressure measurements is expressed by Rayleigh-Pitot formula for supersonic flows.
![]() |
(7.6.7) |


