PROBLEM 4: A merchant ship of length L = 100m and surface area A =
exposed to sea water
moves at a speed V= 8m/s. Calculate the ship's frictional drag force D and the power DV required to overcome the force, assuming
and ![]()
SOLUTION:
The length Reynolds number
is:
![]()
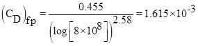
This is well within the turbulent flow regime. If the ship surface were smooth, the drag coefficient:

For a rough surface, the drag coefficient:

Since the latter is larger, the surface roughness determines the frictional drag.
The drag is found by :

PROBLEM 5: A fluid of viscosity 0.65Ns/m2 and specific gravity 1.3 is flowing through a circular pipe of diameter 100mm.the maximum shear stress at the pipe wall is given as 200N/m2, find (a)pressure gradient (b)the average velocity (c)Reynolds number of the flow
SOLUTION:
