·
PROBLEM 2: A wide moving belt passes through a container of a viscous liquid. The belt moves vertically upward with a constant velocity,
, as shown in the figure. Because of viscous forces the belt picks up a film of fluid of thickness h. Gravity tends to make the fluid drain down the belt. Assume that the flow is laminar, steady, and fully developed. Use the N-S equations to determine an expression for the average velocity of the fluid film as it is dragged up the belt.

SOLUTION:
Since the flow is assumed to be fully developed, the only velocity component is in the y direction (the v component) so that u=w=0. It follows from the continuity equation that
, and for steady flow
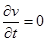
, so that
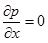
. Under these conditions the N_S equations for the x direction and the z direction simply reduce to
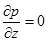
, ![]()
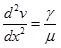
This result indicates that the pressure does not vary over a horizontal plane, and since the pressure on the surface of the film (x = h) is atmospheric, the pressure throughout the film must be atmospheric. The equation of motion in the y direction thus reduces to
![]()
=>
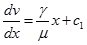
............................................................... (1)
Integrating it, we get
…............................................................ (2)
On the film surface (x = h) we assume the shearing stress is zero--that is, the drag of the air on the film is negligible. The shearing stress at the free surface (or any interior parallel surface) is designated as ![]()
![]()
Thus if
= 0 at x = h, it follows from eq.2
![]()
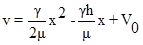
A second integration of eq.2 gives the velocity distribution in the film as
![]()
At the belt (x = 0) the fluid velocity must match the belt velocity, so that
![]()
And the velocity distribution is therefore
................................................................................ (3)
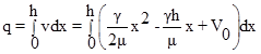
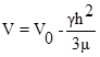
With the velocity distribution known we can determine the flow rate per unit width, q, from the relationship

and thus

The average film velocity, V (where q=Vh), is therefore
