PROBLEM3: Two-dimensional, laminar boundary-layer flow along a flat plate. The boundary- layer velocity profile is
for ![]()
And
for ![]()
Find: (a)
, (b)
, and (c) Total friction force on a plate of length L and width b.
SOLUTION:
For flat plate flow, U= constant, dp/dx = 0, and
.......................................................... (1)
Assumptions: (1) Steady flow
(2) Incompressible flow
Substituting
in eq.1

Now,

Therefore
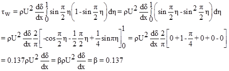
![]()
Separating variables gives
![]()
Integrating, we obtain

But c=0, since δ=0 at x = 0, so

Or
................................................................... (a)
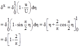
The displacement thickness,
, is given by

Since, from part (a)

then

The total friction force on one side of the plate is given by
![]()
Since dA = bdx and
, then


Again we know, β=0.137 and
, so
