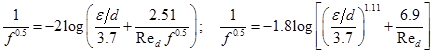
The dependence of friction factor on roughness ratio and Reynolds number for a turbulent pipe flow is represented by Moody chart . It is an accepted design formula for turbulent pipe friction within an accuracy of ±15% and based on the following empirical relations;
![]() |
(5.5.13) |

Fig. 5.5.3: Effect of wall roughness on turbulent pipe flow.
( Re-plotted using the data given in White 2003 )
