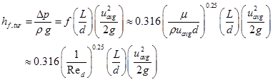
For a horizontal pipe at low Reynolds number, the head loss due to friction can be obtained from pressure drop as shown below;
![]() |
(5.5.11) |
Simplifying Eq. (5.4.11), the pressure drop in a turbulent pipe flow may be expressed in terms of average velocity or flow rate;
(5.5.12) |
For a given pipe, the pressure drop increases with average velocity power of 1.75 (Fig. 5.5.1) and varies slightly with the viscosity which is the characteristics of a turbulent flow. Again for a given flow rate, the turbulent pressure drop decreases with diameter more sharply than the laminar flow formula. Hence, the simplest way to reduce the pumping pressure is to increase the size of the pipe although the larger pipe is more expensive.
Moody Chart
The surface roughness is one of the important parameter for initiating transition in a flow. However, its effect is negligible if the flow is laminar but a turbulent flow is strongly affected by roughness. The surface roughness is related to frictional resistance by a parameter called as roughness ratio
, where ε is the roughness height and d is the diameter of the pipe. The experimental evidence show that friction factor
becomes constant at high Reynolds number for any given roughness ratio (Fig. 5.5.3). Since a turbulent boundary layer has three distinct regions, the friction factor becomes more dominant at low/moderate Reynolds numbers. So another dimensionless parameter
, is defined that essentially show the effects of surface roughness on friction at low/moderate Reynolds number. In a hydraulically smooth wall, there is no effect of roughness on friction and for a fully rough flow, the sub-layer is broken and friction becomes independent of Reynolds number.

